接受委托,我公司定于2024年2月29日上午10时至2024年6月30日在洪力拍卖平台(https://www.honglipai.net/)公开拍卖以下标的:



报名及展示时间:自公告发布之日起至2024年6月30日止(以保证金到账为准,保证金为参考价的2%),有意竞买者可随时联系我公司工作人员到内蒙古巴彦淖尔市临河区、乌拉特后旗、杭锦后旗进行现场勘验。
报名须知:竞买人需携带营业执照、法人携带法定代表人身份证、授权委托人携带本人身份证及法定代表人授权委托书、竞买保证金,联系我公司工作人员办理竞买登记手续。
特别说明:
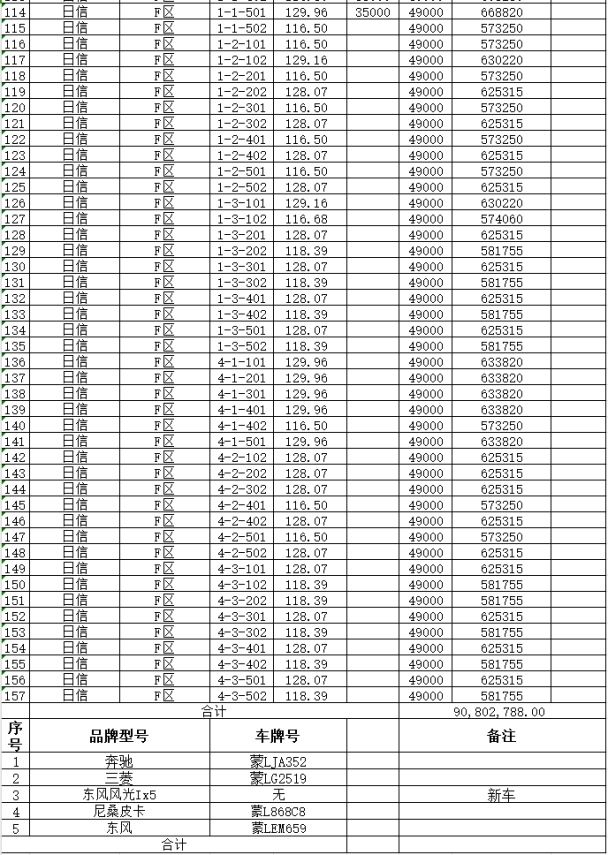
1、我公司本次拍卖的车辆,涉及违章、罚款、扣分、保险、漏检、补证等费用,拍卖成交前由委托方承担,拍卖成交后由买受人承担。车辆过户产生的税、费由买受人承担。车辆手续以委托方在车辆移交时提供的为准,我公司仅出具拍卖成交确认书。自车辆移交后因其他原因导致车辆无法过户的,需提供车辆报废证明、车辆拆解证明或无法过户证明等,买受人未及时办理过户手续,私自开车上路所发生的任何事故,均由买受人承担一切责任,与委托人、拍卖人及车辆所有人无关。
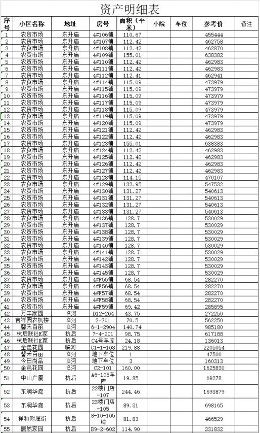
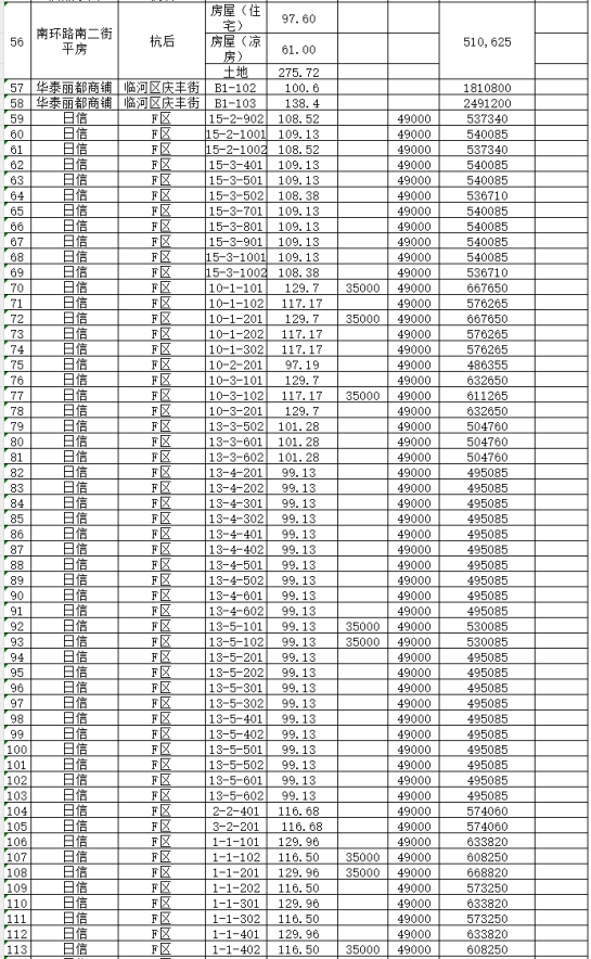
2、我公司本次拍卖的房产:
①本次拍卖标的办理产权登记、过户所产生的税、费按照有关法律法规规定由产权所有人和买受人各自承担,没有产权证的全部由买受人自行承担;
②本次拍卖标的拍卖成交之前涉及欠缴水费、电费、燃气费、取暖费等费用由产权所有人承担,自拍卖成交之日起以后产生的费用由买受人承担;
③本次拍卖标的拍卖人提供的房屋面积、单价仅供参考,房屋按套出售。因实测面积、产权证面积与成交面积有差异而产生的差价,多则无需买受人补交,少则不予退还买受人;
④竞买人必须自行勘踏和仔细甄别标的的相关情况、资料,了解标的的现状、权属、四至界限、面积、房屋及附属设施质量等,拍卖人、委托人及产权所有人不对既存瑕疵以及可能存在的任何权利及质量瑕疵承担任何担保责任;
⑤拍卖标的房屋主体或附属设施毁损、房屋质量问题可能会造成人身或财产损失,或者因第三人的行为可能使得买受人不能顺利取得或使用该标的,或者拍卖标的无法办理产权登记等情形的,拍卖人、委托人及产权所有人对此不作任何担保和承诺,也不承担任何责任。
3、按拍卖人的规定竞买人有权在拍卖前对拍卖标的进行现场勘验,了解拍卖标的现状,仔细审视拍卖标的现状及品质,如不参加标的勘验,则表示放弃此项权利,由此产生的一切风险自担,后果自负。竞买人一经提出竞买申请,即视为认可拍卖标的的现状及瑕疵。拍卖人对拍卖标的的名称、数量、规格、品质、存放地点等用任何方式(包括:文字、图片、图表、新闻媒体等)所做的介绍、评价,均为参考性意见,不构成拍卖人对拍卖标的任何保证,拍卖人不承担瑕疵担保责任,买受人不得以拍卖人未充分披露标的瑕疵为由向拍卖人提出异议,不得追究拍卖人的责任。
4、本次拍卖标的不含任何税费,不能开具发票。
报名地址:内蒙古巴彦淖尔市临河区新华西街泰城御景13号写字楼泰城大厦1020室。
咨询电话:13847864601(微信同号) 0478-8271991
欢迎关注微信公众号了解更多拍卖信息,微信号:BYNESXCPM
联系人:陈女士
电话:18548019401
QQ:940896113
地址:内蒙古巴彦淖尔市临河区泰城御景13号写字楼10楼信成拍卖